我司业务范围:快速开业注册/财税代理/专项审计及清缴报告/政府预决算/劳务派遣/资质证书申请认定/商标专利注册/高企、科技项目代理申报/股改上市融资
更多的科技政策信息,还可通过以下途径了解和咨询:
合作热线:
1.嘉应·广州办事处:广州市天河区燕岭路120号金燕大厦905房
189 2506 1970(王先生)
2.嘉应·佛山顺德嘉旺:佛山市顺德区大良南国中路29号顺兴花苑2层2号写字楼
136 0032 1188(段先生)
3.嘉旺·睿旺公司:佛山市顺德区大良南国中路29号顺兴花苑2层3号写字楼
136 0032 1188(段先生)
4.嘉应·梅州百业旺办事处:梅州市梅区县剑英大道山水城锦绣国际家具博览中心B10栋4楼430
151 1937 7484(饶小姐)
5.嘉应·清远办事处:清远市新城东二号区十三号商业大厦603号
151 1372 2640(肖小姐)
6.嘉应·中山办事处:中山市石岐区龙井南路3号置贤大厦2416房
135 5610 0770(钟小姐)
7.嘉应·深圳办事处:深圳市南山区深南大道12069号海岸时代公寓东座2319
159 1977 0284(赵先生)
8.嘉应·梅州企盈办事处:兴宁市兴城宝华园C栋第17卡门店
189 3345 8933(陈小姐)
9.嘉应·广州语晨科技金融:广州市天河区黄埔大道中336号第六层18665633222 (贺先生)
————————————————————————————————————————————————
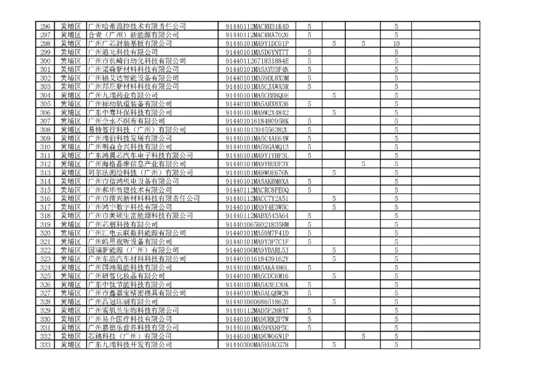
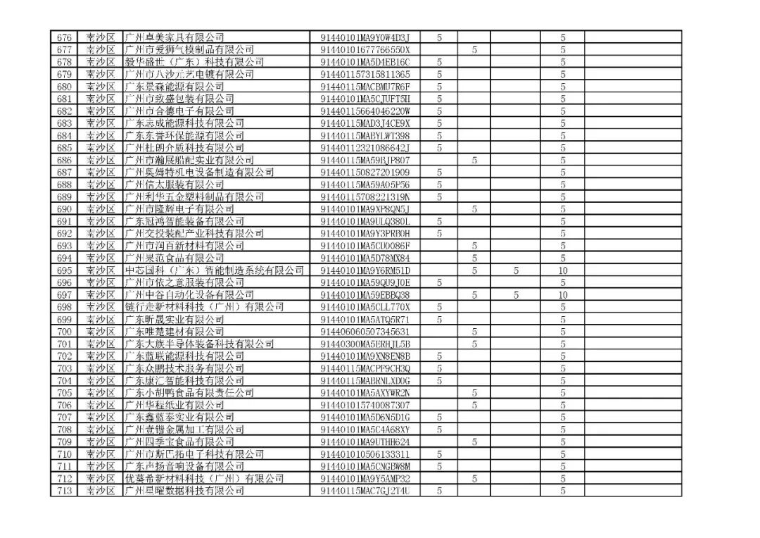
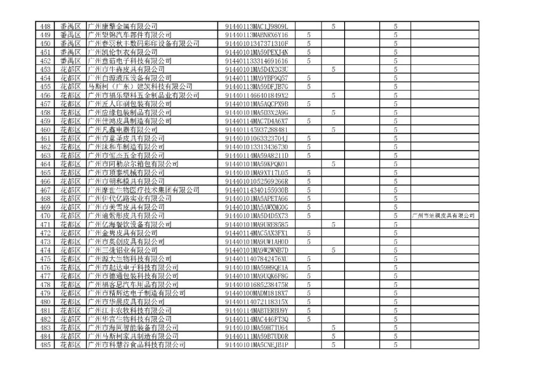
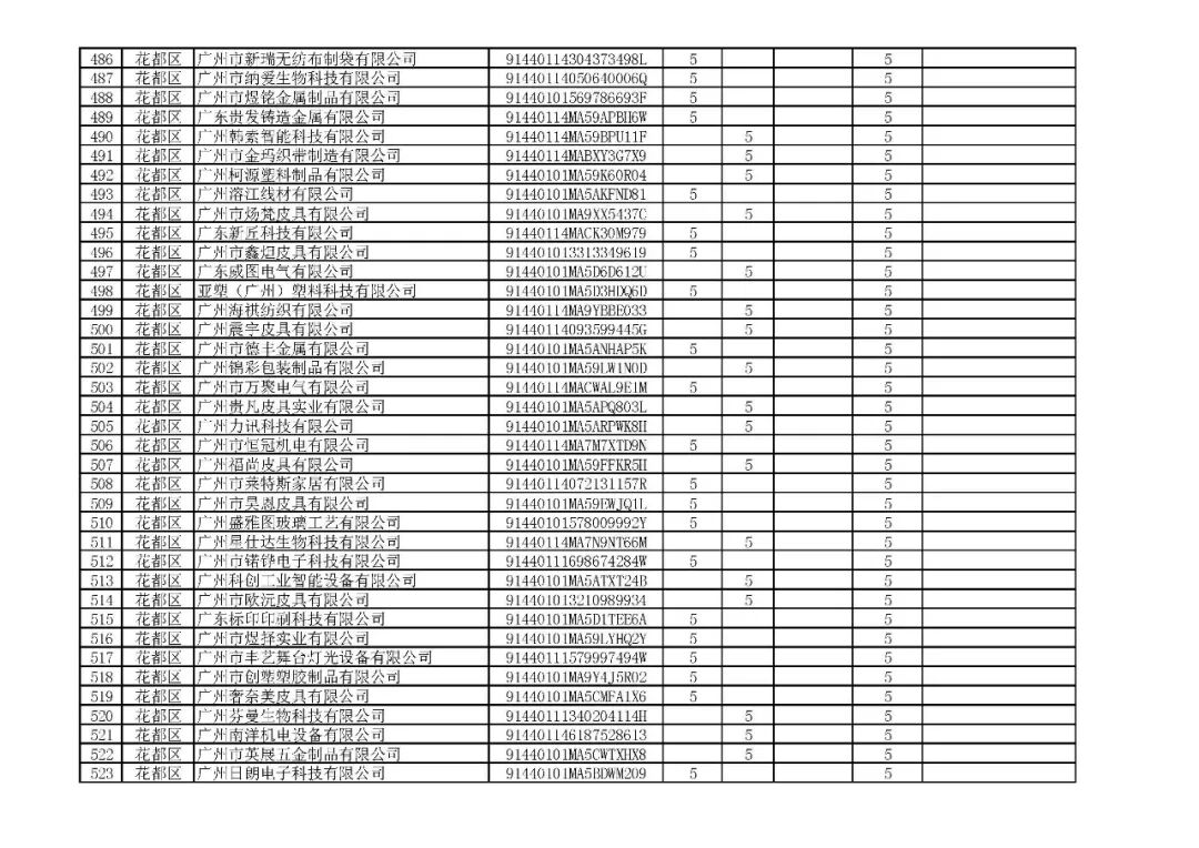
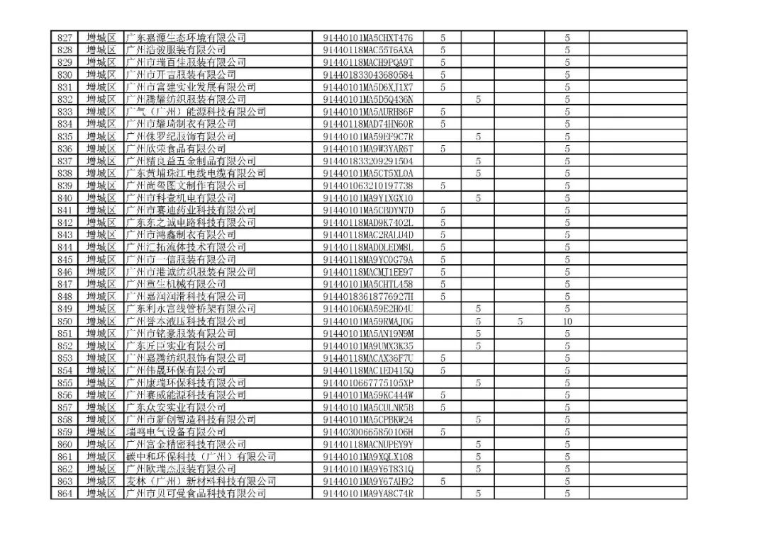
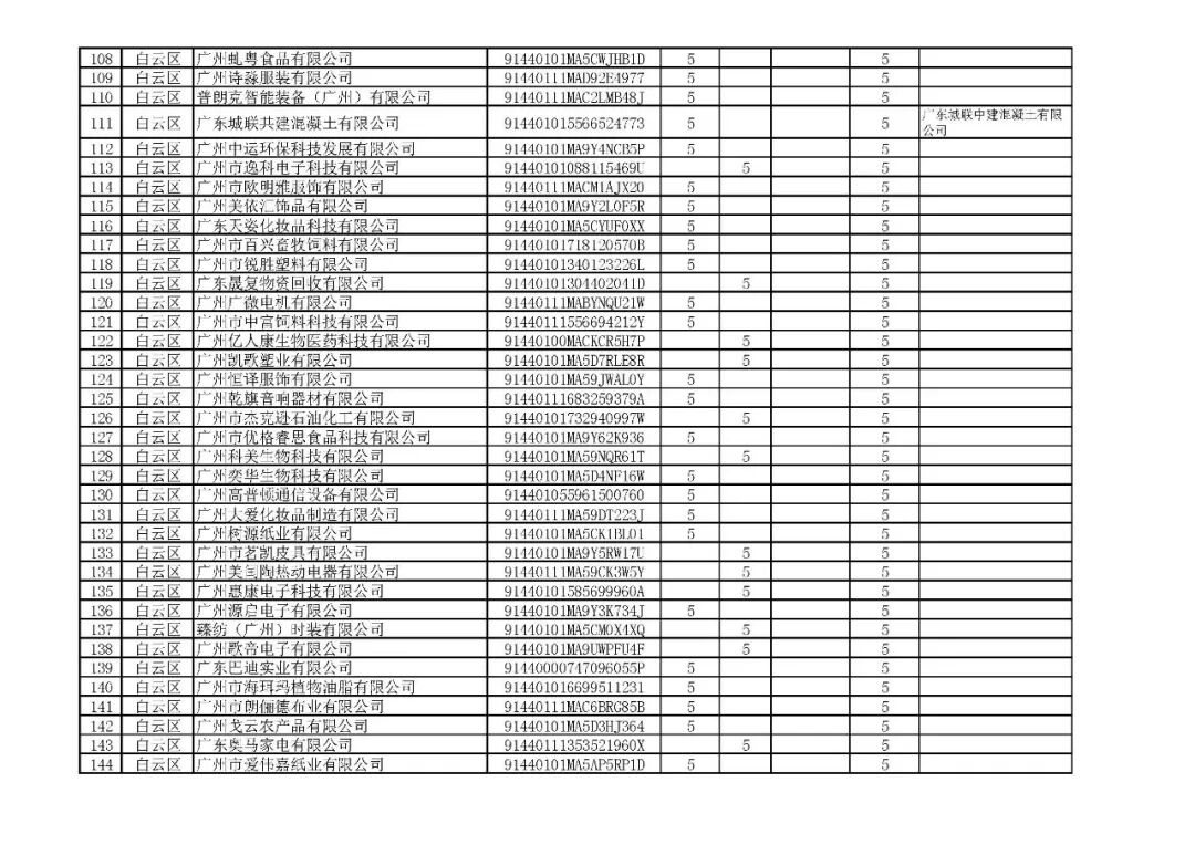
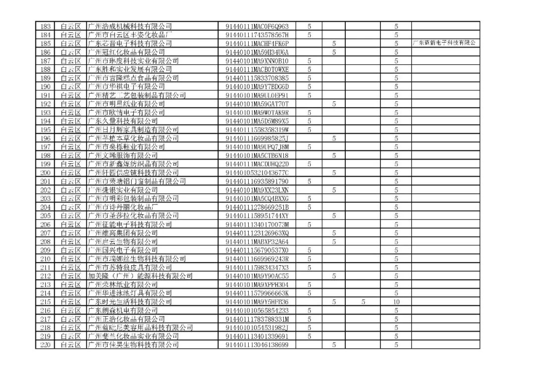
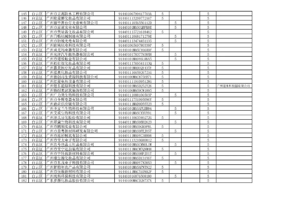
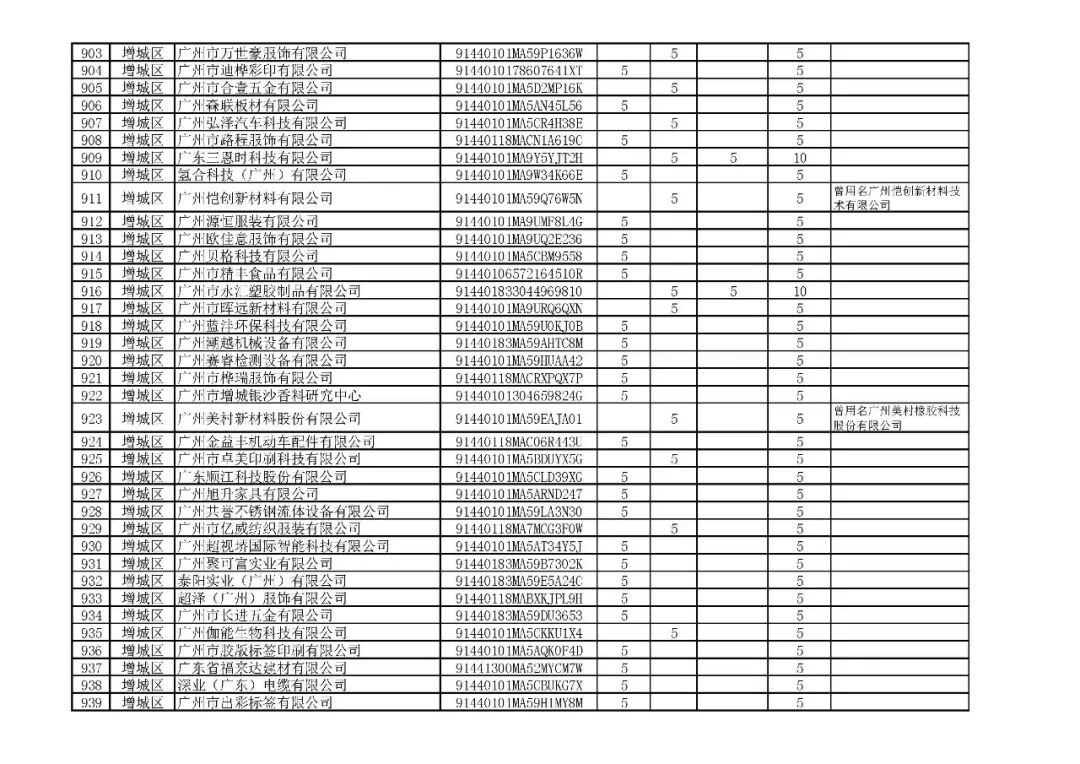
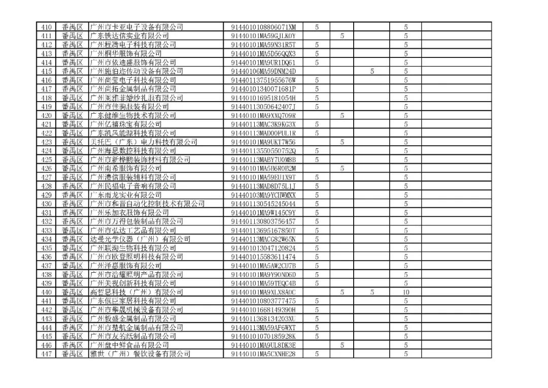
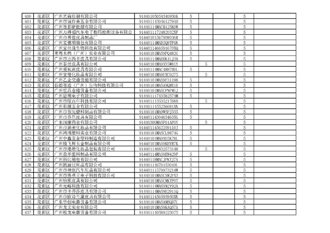
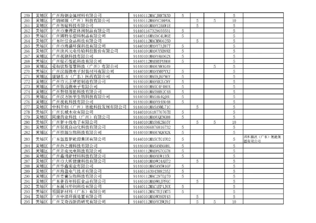
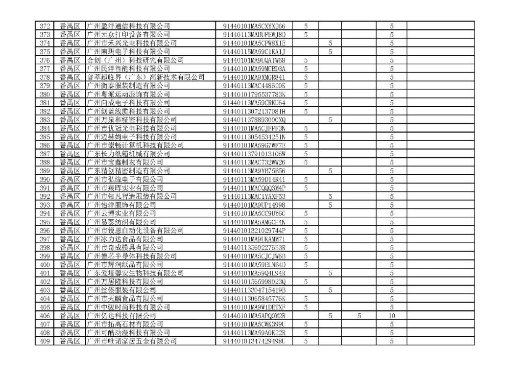
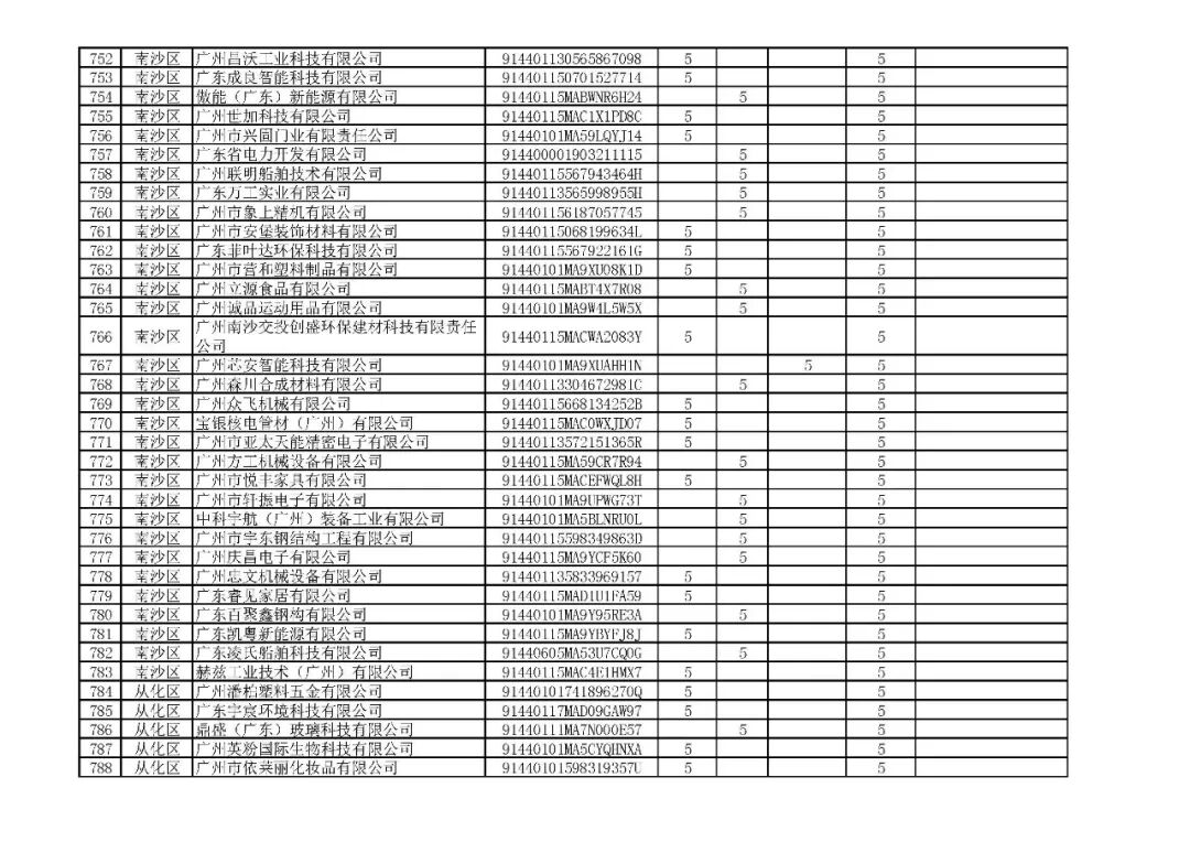
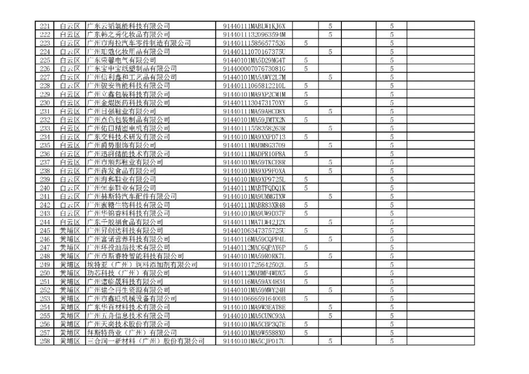
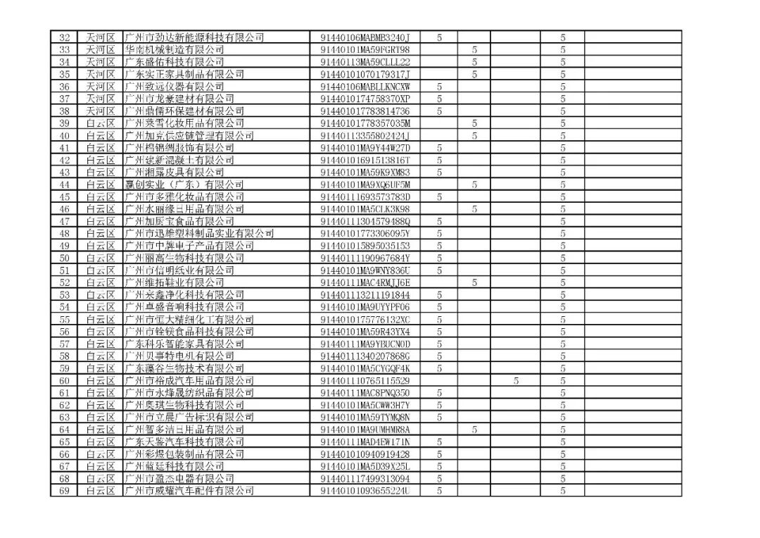
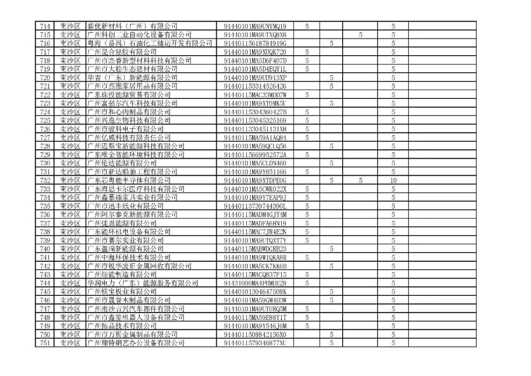
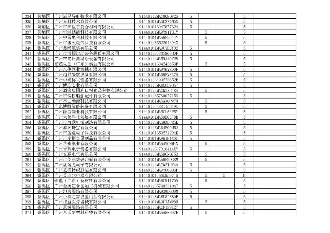
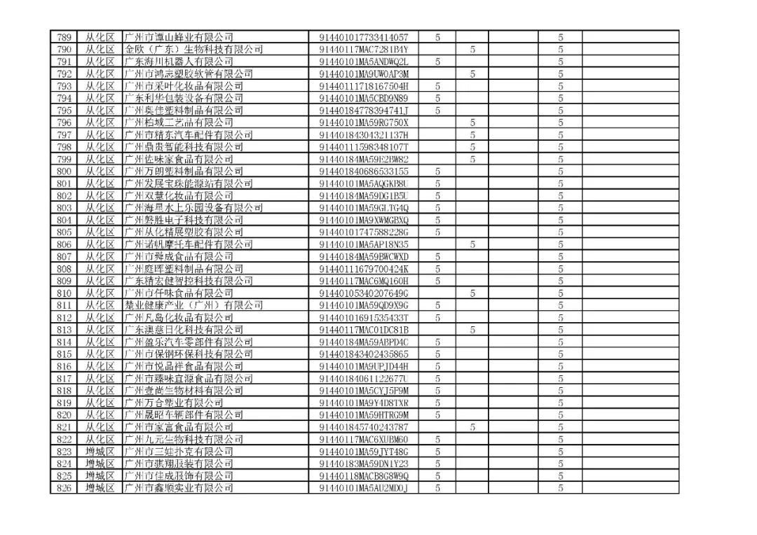
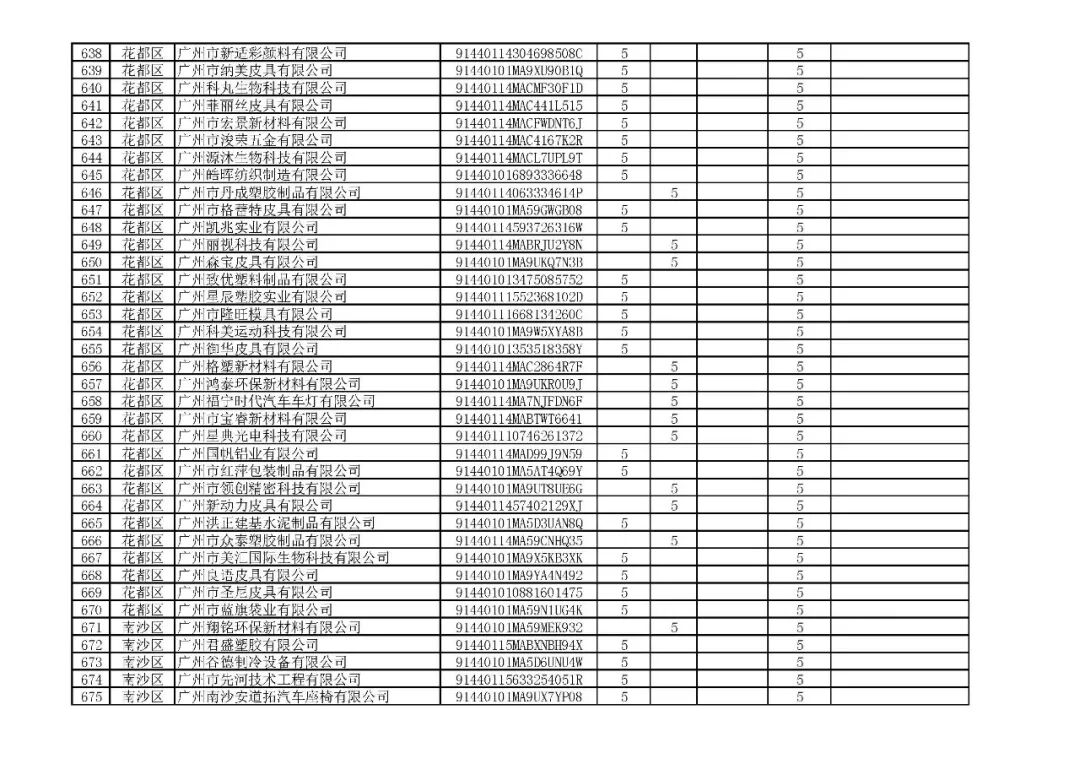
根据《广东省工业和信息化厅 广东省财政厅关于2025-2027年省级民营经济及中小微企业发展专项资金方案的通知》(粤工信融资函〔2025〕7号)和《广东省工业和信息化厅关于组织实施2025年促进小微工业企业上规模发展专项资金的函》(粤工信融资函〔2025〕20号)要求,我局会同各区政府开展了2025年省级促进小微工业企业上规模发展专项资金项目的申报、审核、推荐等工作。经省工业和信息化厅审定,我市共有970家企业获得2025年省级促进小微工业企业上规模发展奖补资金奖励,其中2024年新升规企业654家,2023升规后2024年工业增加值增长超过10%企业307家,2023年首次升规后2024年成为专精特新中小企业的企业24家(含15家2023年新升规后2024年工业增加值仍保持10%以上增长企业)(详见附件)。现将项目安排计划予以公示。公示时间为2025年11月17日至2025年11月23日(工作日9:00-12:00,14:00-18:00)。
对公示内容如有异议,请在公示期内以书面形式反映(地址:广州市越秀区东风中路268号广州交易广场26楼广州市民营经济和中小企业局创业创新服务处,邮编:510032,联系电话:83726612)。以个人名义反映情况的,请提供真实姓名、联系方式和反映事项书面证明材料等;以单位名义反映情况的,请提供真实单位名称(加盖公章)、联系人、联系方式和反映事项书面证明材料等。
附件:2025年促进小微工业企业上规模发展奖补资金项目拟安排计划
广州市工业和信息化局
2025年11月17日
查看完整附件请点击https://gxj.gz.gov.cn/qysb/jggs/content/post_10554239.html?sessionid=

18925061970



